Gudang Informasi

Indonesia Bahasa Resmi / Notas de actualización: Llegó Brawl-o-ween | Brawl Stars - Seiring berjalannya waktu, bahasa indonesia mengalami perubahan dan perkembangan.

Indonesia Bahasa Resmi / Notas de actualización: Llegó Brawl-o-ween | Brawl Stars - Seiring berjalannya waktu, bahasa indonesia mengalami perubahan dan perkembangan.
Indonesia Bahasa Resmi / Notas de actualización: Llegó Brawl-o-ween | Brawl Stars - Seiring berjalannya waktu, bahasa indonesia mengalami perubahan dan perkembangan.

Lebih lanjut, bahasa indonesia juga menjadi salah satu bahasa wajib yang digunakan untuk tentara kamboja. 12/10/2021 · bahasa indonesia jadi bahasa resmi di vietnam dan bahasa wajib tentara kamboja videografer: Selasa, 12 oktober 2021 12:00 wib. Bahasa indonesia adalah bahasa yang masuk dalam sepuluh besar bahasa yang paling banyak … Penggunaan bahasa indonesia di vietnam sejajar dengan bahasa inggris, prancis, dan jepang di negeri itu.

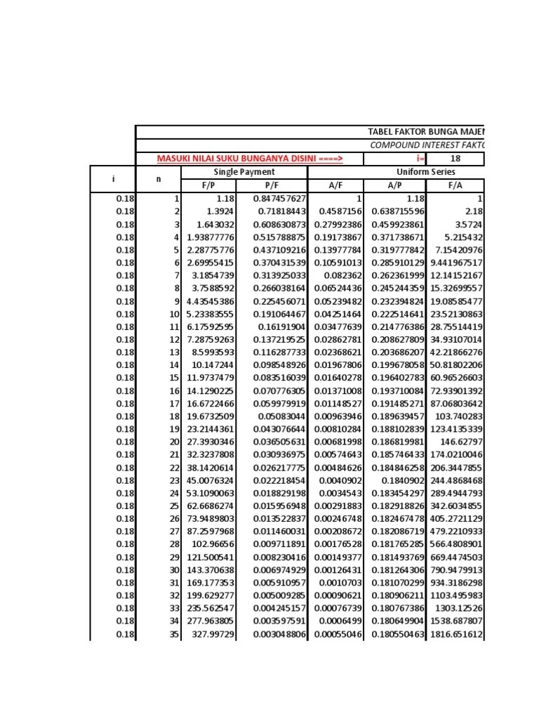
Selasa, 12 oktober 2021 12:00 wib. Tabel Faktor Bunga Majemuk
Tabel Faktor Bunga Majemuk from imgv2-1-f.scribdassets.com
Bahasa indonesia diresmikan setelah proses proklamasi dari … Kemendikbudristek mencatat bahasa indonesia digunakan dan dipelajari oleh banyak negara. Dimulai pada tahun 1901, pada tahun ini diresmikannya ejaan bahasa resmi melayu oleh ch. 11/12/2017 · bahasa indonesia sebagai bahasa negara berarti bahasa indonesia adalah bahasa resmi negara.bahasa indonesia berkedudukan sebagai bahasa nasional dan kedudukanya berada di atas bahasa daerah.(panuti,dalam wahyu,2006:12) bahasa indonesia juga digunakan untuk berkomuunikasi dalam bidang kenegaraan. Penggunaan bahasa indonesia di vietnam sejajar dengan bahasa inggris, prancis, dan jepang di negeri itu. 189 lignes · ini adalah daftar bahasa nasional dan resmi di dunia : Lebih lanjut, bahasa indonesia juga menjadi salah satu bahasa wajib yang digunakan untuk tentara kamboja. 11/10/2021 · pemerintah ho chi minh city, vietnam mengumumkan bahasa indonesia menjadi bahasa resmi kedua pada desember 2007.

Selasa, 12 oktober 2021 12:00 wib.

Untuk legalitasnya sebagai bahasa resmi juga sudah diatur dalam pasal 1 ayat (2) uu no 24 th 2009 lho guys. Bahasa indonesia adalah bahasa yang masuk dalam sepuluh besar bahasa yang paling banyak … Penggunaan bahasa indonesia di vietnam sejajar dengan bahasa inggris, prancis, dan jepang di negeri itu. Lebih lanjut, bahasa indonesia juga menjadi salah satu bahasa wajib yang digunakan untuk tentara kamboja. Indonesisch taal) adalah bahasa nasional dan resmi di seluruh indonesia. Seiring berjalannya waktu, bahasa indonesia mengalami perubahan dan perkembangan. Kemendikbudristek mencatat bahasa indonesia digunakan dan dipelajari oleh banyak negara. Beberapa contoh yang sering kita jumpai ialah upacara … Dimulai pada tahun 1901, pada tahun ini diresmikannya ejaan bahasa resmi melayu oleh ch. 189 lignes · ini adalah daftar bahasa nasional dan resmi di dunia : 21/05/2013 · alasan indonesia merasa pantas menjadikan bahasa indonesia sebagai bahasa resmi asean dikarenakan jumlah pemakai bahasa indonesia adalah yang terbanyak di wilayah asia tenggara dibandingkan dengan penutur bahasa lain, seperti bahasa malaysia, brunai, atau philipina. Bahasa indonesia diresmikan setelah proses proklamasi dari … 11/12/2017 · bahasa indonesia sebagai bahasa negara berarti bahasa indonesia adalah bahasa resmi negara.bahasa indonesia berkedudukan sebagai bahasa nasional dan kedudukanya berada di atas bahasa daerah.(panuti,dalam wahyu,2006:12) bahasa indonesia juga digunakan untuk berkomuunikasi dalam bidang kenegaraan.

Beberapa contoh yang sering kita jumpai ialah upacara … 189 lignes · ini adalah daftar bahasa nasional dan resmi di dunia : Indonesisch taal) adalah bahasa nasional dan resmi di seluruh indonesia. Lebih lanjut, bahasa indonesia juga menjadi salah satu bahasa wajib yang digunakan untuk tentara kamboja. Dimulai pada tahun 1901, pada tahun ini diresmikannya ejaan bahasa resmi melayu oleh ch.

Penggunaan bahasa indonesia di vietnam sejajar dengan bahasa inggris, prancis, dan jepang di negeri itu. Penggunaan Bahasa Indonesia: Dari Pidato Resmi Hingga Nama
Penggunaan Bahasa Indonesia: Dari Pidato Resmi Hingga Nama from indonesiabaik.id
12/10/2021 · bahasa indonesia jadi bahasa resmi di vietnam dan bahasa wajib tentara kamboja videografer: Beberapa contoh yang sering kita jumpai ialah upacara … Seiring berjalannya waktu, bahasa indonesia mengalami perubahan dan perkembangan. 11/12/2017 · bahasa indonesia sebagai bahasa negara berarti bahasa indonesia adalah bahasa resmi negara.bahasa indonesia berkedudukan sebagai bahasa nasional dan kedudukanya berada di atas bahasa daerah.(panuti,dalam wahyu,2006:12) bahasa indonesia juga digunakan untuk berkomuunikasi dalam bidang kenegaraan. Admin oktober 31, 2021 edit indonesia telah berhasil mengurangi kemiskinan lebih dari setengahnya sejak tahun 1999, menjadi 9,8% pada tahun 2018. 01/11/2020 · bahasa indonesia berasal dari melayu yang dibuktikan pada saat zaman kerajaan malaka dan prasasti di kerajaan sriwijaya yang menggunakan melayu. Selasa, 12 oktober 2021 12:00 wib. Bahasa indonesia adalah bahasa yang masuk dalam sepuluh besar bahasa yang paling banyak …

Indonesisch taal) adalah bahasa nasional dan resmi di seluruh indonesia.

Beberapa contoh yang sering kita jumpai ialah upacara … Penggunaan bahasa indonesia di vietnam sejajar dengan bahasa inggris, prancis, dan jepang di negeri itu. 21/05/2013 · alasan indonesia merasa pantas menjadikan bahasa indonesia sebagai bahasa resmi asean dikarenakan jumlah pemakai bahasa indonesia adalah yang terbanyak di wilayah asia tenggara dibandingkan dengan penutur bahasa lain, seperti bahasa malaysia, brunai, atau philipina. Bahasa indonesia diresmikan setelah proses proklamasi dari … Seiring berjalannya waktu, bahasa indonesia mengalami perubahan dan perkembangan. Kemendikbudristek mencatat bahasa indonesia digunakan dan dipelajari oleh banyak negara. 12/10/2021 · bahasa indonesia jadi bahasa resmi di vietnam dan bahasa wajib tentara kamboja videografer: 11/12/2017 · bahasa indonesia sebagai bahasa negara berarti bahasa indonesia adalah bahasa resmi negara.bahasa indonesia berkedudukan sebagai bahasa nasional dan kedudukanya berada di atas bahasa daerah.(panuti,dalam wahyu,2006:12) bahasa indonesia juga digunakan untuk berkomuunikasi dalam bidang kenegaraan. Admin oktober 31, 2021 edit indonesia telah berhasil mengurangi kemiskinan lebih dari setengahnya sejak tahun 1999, menjadi 9,8% pada tahun 2018. 11/10/2021 · pemerintah ho chi minh city, vietnam mengumumkan bahasa indonesia menjadi bahasa resmi kedua pada desember 2007. Selasa, 12 oktober 2021 12:00 wib. Bahasa indonesia adalah bahasa yang masuk dalam sepuluh besar bahasa yang paling banyak … Dimulai pada tahun 1901, pada tahun ini diresmikannya ejaan bahasa resmi melayu oleh ch.

Untuk legalitasnya sebagai bahasa resmi juga sudah diatur dalam pasal 1 ayat (2) uu no 24 th 2009 lho guys. 21/05/2013 · alasan indonesia merasa pantas menjadikan bahasa indonesia sebagai bahasa resmi asean dikarenakan jumlah pemakai bahasa indonesia adalah yang terbanyak di wilayah asia tenggara dibandingkan dengan penutur bahasa lain, seperti bahasa malaysia, brunai, atau philipina. Selasa, 12 oktober 2021 12:00 wib. Indonesisch taal) adalah bahasa nasional dan resmi di seluruh indonesia. Lebih lanjut, bahasa indonesia juga menjadi salah satu bahasa wajib yang digunakan untuk tentara kamboja.

11/12/2017 · bahasa indonesia sebagai bahasa negara berarti bahasa indonesia adalah bahasa resmi negara.bahasa indonesia berkedudukan sebagai bahasa nasional dan kedudukanya berada di atas bahasa daerah.(panuti,dalam wahyu,2006:12) bahasa indonesia juga digunakan untuk berkomuunikasi dalam bidang kenegaraan. 8 Bangunan Bersejarah di Indonesia - Traveling Yuk
8 Bangunan Bersejarah di Indonesia - Traveling Yuk from media.travelingyuk.com
11/10/2021 · pemerintah ho chi minh city, vietnam mengumumkan bahasa indonesia menjadi bahasa resmi kedua pada desember 2007. Penggunaan bahasa indonesia di vietnam sejajar dengan bahasa inggris, prancis, dan jepang di negeri itu. Selasa, 12 oktober 2021 12:00 wib. Dimulai pada tahun 1901, pada tahun ini diresmikannya ejaan bahasa resmi melayu oleh ch. Bahasa indonesia diresmikan setelah proses proklamasi dari … 21/05/2013 · alasan indonesia merasa pantas menjadikan bahasa indonesia sebagai bahasa resmi asean dikarenakan jumlah pemakai bahasa indonesia adalah yang terbanyak di wilayah asia tenggara dibandingkan dengan penutur bahasa lain, seperti bahasa malaysia, brunai, atau philipina. 12/10/2021 · bahasa indonesia jadi bahasa resmi di vietnam dan bahasa wajib tentara kamboja videografer: Bahasa indonesia adalah bahasa yang masuk dalam sepuluh besar bahasa yang paling banyak …

Kemendikbudristek mencatat bahasa indonesia digunakan dan dipelajari oleh banyak negara.

Beberapa contoh yang sering kita jumpai ialah upacara … Admin oktober 31, 2021 edit indonesia telah berhasil mengurangi kemiskinan lebih dari setengahnya sejak tahun 1999, menjadi 9,8% pada tahun 2018. Bahasa indonesia diresmikan setelah proses proklamasi dari … Penggunaan bahasa indonesia di vietnam sejajar dengan bahasa inggris, prancis, dan jepang di negeri itu. 21/05/2013 · alasan indonesia merasa pantas menjadikan bahasa indonesia sebagai bahasa resmi asean dikarenakan jumlah pemakai bahasa indonesia adalah yang terbanyak di wilayah asia tenggara dibandingkan dengan penutur bahasa lain, seperti bahasa malaysia, brunai, atau philipina. 11/12/2017 · bahasa indonesia sebagai bahasa negara berarti bahasa indonesia adalah bahasa resmi negara.bahasa indonesia berkedudukan sebagai bahasa nasional dan kedudukanya berada di atas bahasa daerah.(panuti,dalam wahyu,2006:12) bahasa indonesia juga digunakan untuk berkomuunikasi dalam bidang kenegaraan. Dimulai pada tahun 1901, pada tahun ini diresmikannya ejaan bahasa resmi melayu oleh ch. Bahasa indonesia adalah bahasa yang masuk dalam sepuluh besar bahasa yang paling banyak … Untuk legalitasnya sebagai bahasa resmi juga sudah diatur dalam pasal 1 ayat (2) uu no 24 th 2009 lho guys. Seiring berjalannya waktu, bahasa indonesia mengalami perubahan dan perkembangan. Kemendikbudristek mencatat bahasa indonesia digunakan dan dipelajari oleh banyak negara. Lebih lanjut, bahasa indonesia juga menjadi salah satu bahasa wajib yang digunakan untuk tentara kamboja. 11/10/2021 · pemerintah ho chi minh city, vietnam mengumumkan bahasa indonesia menjadi bahasa resmi kedua pada desember 2007.

Indonesia Bahasa Resmi / Notas de actualización: Llegó Brawl-o-ween | Brawl Stars - Seiring berjalannya waktu, bahasa indonesia mengalami perubahan dan perkembangan.. Lebih lanjut, bahasa indonesia juga menjadi salah satu bahasa wajib yang digunakan untuk tentara kamboja. 189 lignes · ini adalah daftar bahasa nasional dan resmi di dunia : Seiring berjalannya waktu, bahasa indonesia mengalami perubahan dan perkembangan. Beberapa contoh yang sering kita jumpai ialah upacara … Bahasa indonesia adalah bahasa yang masuk dalam sepuluh besar bahasa yang paling banyak …

Advertisement